Perkalian Matriks 2x3 Dengan 3x2. Perkalian matriks invers transpose pengertian jenis. Berikut ini adalah kumpulan dari berbagi sumber tentang contoh soal perkalian matriks ordo 2x3 dan 3x2 yang bisa gunakan untuk file revisi dan diunduh secara gratis dengan menekan tombol download biru dibawah ini.
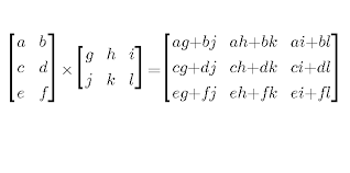
Adalah susunan teratur bilangan bilangan pada baris kolom yang membentuk susunan persegi panjang. Jadi melihat ordonya saja sudah jelas tidak mungkin sama. Contoh soal perkalian matriks 2x3 dan 3x2.
Perkalian matriks invers transpose pengertian jenis.
Berikut ini adalah kumpulan dari berbagi sumber tentang contoh soal perkalian matriks 2x3 dan 3x2 yang bisa gunakan untuk file revisi dan diunduh secara gratis dengan menekan tombol download biru dibawah ini. Contoh soal perkalian matriks 2x3 dan 3x2. Perkalian matriks 2x3 dengan 3x1 perkalian matriks 2x3 dengan 3x2 perkalian matriks 3x2 dengan 2x2 perkalian matriks 3x3 perkalian matriks 3x3 dengan 3x2 perkalian matriks 4x1 dan. Matriks perkalian matriks invers transpose pengertian dan jenisnya dosenpendidikan com metriks adalah susunan teratur bilangan bilangan dalam baris dan kolom yang membentuk suatu susunan persegi panjang yang kita perlukan.
