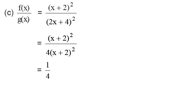
Operasi Fungsi Aljabar Pembagian. A penjumlahan penjumlahan 𝑓 dan g ditulis 𝑓 𝑔 didefinisikan sebagai 𝑓. Sebelum mempelajari pembagian pada aljabar diperlukan pemahaman materi sebelumnya terkait perkalian aljabar.
Tentunya dalam proses pembuatan jus mangga ini kita membutuhkan bahan bahan lain seperti gula ataupun bahan tambahan lainnya. Kali ini kita akan membahas tentang operasi aljabar fungsi. Mari simak pembahasan mengenai operasi hitung aljabar pada suatu fungsi di bawah ini.
Akan tetapi untuk lebih memudahkan memahami konsep ini anda harus paham dengan cara mencari faktor.
Oleh karena itu contoh soal operasi pembagian bentuk aljabar mafia online akan ambil contoh soal operasi perkalian pada bentuk aljabar. Pada postingan sebelumnya mafia online sudah membahas tentang operasi perkalian pada bentuk aljabar sedangkan pada postingan kali ini mafia online akan membahas tentang operasi pembagian pada bentuk aljabar untuk menentukan hasil bagi dua bentuk aljabar dapat dilakukan dengan cara menentukan terlebih dahulu faktor sekutu masing masing bentuk aljabar tersebut kemudian lakukanlah pembagian. Tentunya dalam proses pembuatan jus mangga ini kita membutuhkan bahan bahan lain seperti gula ataupun bahan tambahan lainnya. Jika f dan g adalah fungsi yang terdefinisi pada bilangan real maka keempat operasi diatas dapat dituliskan sebagai berikut.
